¿Qué es racionalizar? ¿Qué es racionalizar denominadores? ¿Cómo se racionaliza? Racionalizar consiste en quitar los radicales del denominador, es decir quitar las raíces del denominador. Es útil para el cálculo de operaciones, como por ejemplo, resta o la suma de fracciones.
Índice del artículo
Tipos de racionalizaciones
Los casos que nos vamos a encontrar los podemos clasificar en tres tipos.
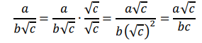
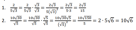
Racionalización de TIPO 1:

En este caso se racionaliza multiplicando el numerador y el denominador por el siguiente radical, que aparece en el denominador:


Ejemplo:

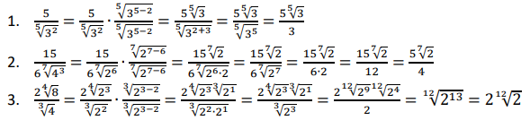
Racionalización de TIPO 2:

Para eliminar la raíz del denominador hay que multiplicar numerador y denominador por la raíz n-ésima con el radicando elevado a la diferencia entre el índice de la raíz y su exponente:


Ejemplos:

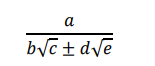
Racionalización de TIPO 3:

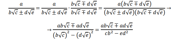
Para que desaparezca la raíz del denominador multiplicamos numerador y denominador por el conjugado del denominador para obtener suma por diferencia, que es igual a la diferencia de los cuadrados.


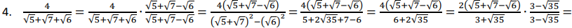
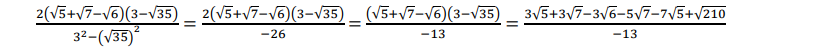
Ejemplos:






Hemos dado algunos ejemplos concretos, pero podemos resolver cualquier ejercicio, se resolvería aplicando las herramientas aprendidas de los tres tipos de racionalización.





Excelente explicación, muchas gracias por compartir
Nos alegramos Juan Carlos de que te haya sido de utilidad.