Índice del artículo
¿Cómo se realiza la valoración de las existencias?
Para efectuar una valoración de existencias se emplean las normas del precio de adquisición o del coste de producción, pero no siempre es una labor sencilla. Si las mercaderías entran en el almacén en cantidades grandes y a precios de compra distintos, en el momento de la venta pueden existir problemas a la hora de la toma de decisión de que unidades deben ser vendidas en primer lugar.
¿Las que llevan más tiempo en el almacén o las últimas en ser adquiridas? ¿Resulta más conveniente que cada unidad de existencia que entra en el almacén conserve su precio o sería mejor establecer un único precio medio para todas las unidades? ¿Cómo hacerlo?
Criterio para la valoración
Se recomiendan tres criterios para la valoración en los casos en los que las normas del precio de adquisición y del coste de producción son insuficientes para valorar individualmente las existencias de la empresa.
Estos criterios son: PMP, FIFO y LIFO. Normalmente se aplica el primer criterio, el PMP (precio medio ponderado).
Criterios empleados para la valoración de existencias: PMP, FIFO y LIFO
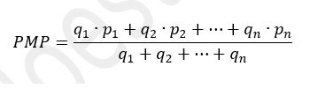
Criterio PMP
Criterio PMP (precio medio ponderado). Este método consiste en calcular el valor medio de las existencias iniciales y de las entradas ponderadas según sus cantidades.

q es la cantidad de existencias o de producto que entra
p es el precio
Criterio FIFO
Criterio FIFO (First IN, First Out) (primera entrada-primera salida). El precio de los productos que salen del almacén va a ser el precio de adquisición de las primeras unidades que entraron. Las existencias salen del almacén valoradas económicamente en el mismo orden que entraron, primera entrada, primera salida.
Criterio LIFO
Criterio LIFO (Last In, First Out) (última entrada, primera salida). El precio de los productos que salen del almacén va a ser el precio de adquisición de las últimas unidades que entraron. Las existencias salen del almacén valoradas económicamente en orden inverso al que entraron.
Cuando una empresa adopta un criterio de valoración debe mantenerlo fijo, se podrá cambiar de manera excepcional en circunstancias especiales y previa justificación del motivo del cambio.
Si necesitas ayuda, no lo dudes en mundoestudiante te asesoraremos y orientaremos en el proceso académico.
👉Consulta nuestras academias:





Deja una respuesta