¿Cómo representar una función en matemáticas? ¿Cuándo es suficiente con calcular una tabla de valores? ¿Qué pasos son necesarios para realizar el estudio completo de una función? Son preguntas que surgen a los estudiantes en matemáticas muy a menudo. La respuesta es sencilla, párate a pensar qué tipo de función tienes que representar y para qué necesitas la representación.
Índice del artículo
¿Cómo representar una función lineal?
Son las más sencillas, con completar una tabla de valores es suficiente para poder trazar la función en unos ejes coordenados, con dar dos valores sería suficiente, pero para evitar errores mejor dar tres.
Consejo: da valor 0 para la x y valor 0 para la y.
¿Cómo representar parábolas?
Lo primero que hay que tener claro es como es, cóncava o convexa (truco: si a>0 😊 (cóncava) si a<0 ☹️ (convexa)), después calculamos los puntos de corte con los ejes, coordenadas del vértice y representamos los puntos calculados. Si hemos obtenidos tres puntos o más ya tenemos representada nuestra parábola, si los puntos obtenidos son menores de 3 completamos una tabla de valores para obtener puntos extra.
¿Cómo representar funciones más complejas?
Para representar funciones más complejas o si el ejercicio te lo pide, se realiza el estudio completo de la función. Los pasos son los siguientes:
1) Dominio

2) Puntos de corte con los ejes
Eje OX → y=0 punto de corte (x,0)
Eje OY→ x=0 punto de corte (0,y)
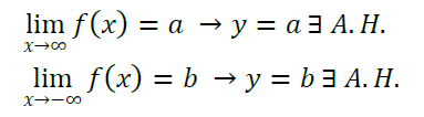
3) Asíntotas
A. Horizontales

A. Verticales

Tenemos en cuenta los valores que determinan el dominio, es decir los que anulan al denominador.

(puede haber más de una solución, estudiamos cada caso)

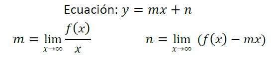
A. Oblicuas/inclinadas
Solo existen o pueden existir si no hay asíntotas horizontales.

4) Máximos y mínimos

Comprobación:
- Estudiando la 2º derivada:

- Estudiando crecimiento y decrecimiento: decrece-crece → mínimo, crece-decrece → máximo
5) Crecimiento y decrecimiento

En la recta ponemos la x de los máximos, mínimos y A.V.
6) Punto de inflexión

Comprobación:

7) Concavidad y convexidad



8) Representación
Dibujamos los ejes de coordenadas, los nombramos, dibujamos las asíntotas y marcamos hacia donde tiende la función en ellas, representamos los puntos de corte con los ejes, los máximos y los mínimos. Dibujamos la función uniendo los puntos y teniendo en cuenta crecimiento, decrecimiento, concavidad y convexidad.
Siguiendo estos pasos no tendrás problemas para representar cualquier función a la que te enfrentes. En el canal de de mundoestudiante podrás ver ejemplos de representación de funciones paso a paso.

Solución:
👉Consulta nuestras academias:





Deja una respuesta