Una función es un algoritmo (operaciones ordenadas) de correspondencia entre dos conjuntos de tal manera que a cada elemento del primer conjunto (A) le corresponde uno y sólo un elemento del segundo conjunto (B). Al primer conjunto (A) se le da el nombre de dominio, y al segundo conjunto (B) se le domina imagen.

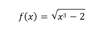
Las funciones en un leguaje más simple son como calculadoras a las que se les introduce un elemento x y devuelven otro valor f(x). Por ejemplo:

La función “f(x)” es la que a cada número se lo eleva al cubo, luego se le resto 2 y por ultimo al resultado se le aplica la raíz cuadrada.
Índice del artículo
Características de las funciones matemáticas
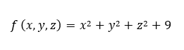
Las funciones se caracterizan por depender de variables (x,y,z,…) y constantes. Dichas variables se las denomina independientes, para entenderlo mejor observemos el siguiente ejemplo:

La función escrita anteriormente tiene tres variables independientes, y una constante 9. Dichas variables son independientes entre sí, y pueden coger cualquier valor. La constante como dice su nombre siempre va a tener el mismo valor independientemente de los valores de las variables independientes.
👉Consulta nuestras academias:
Tipos de funciones matemáticas
Las funciones matemáticas pueden clasificarse de acuerdo al tipo de correspondencia que se da entre los elementos del dominio A y los de B, teniendo así lo siguiente.
Función inyectiva
Cualquier función será inyectiva si elementos distintos del dominio A se corresponden con elementos distintos del B, es decir, que ningún elemento del dominio se corresponde con la misma imagen de otro.
Función subyectiva
Similarmente, hablaremos de una función subyectiva cuando a cada elemento del dominio A le corresponde una imagen en el B, incluso si ello implica compartir imágenes.
Función biyectiva
Ocurre cuando una función es inyectiva y subyectiva a la vez, es decir, cuando a cada elemento de A le corresponde un único elemento de B, y no quedan en el condominio (imagen) imágenes sin asociar, o sea, no hay elementos en B que no correspondan a uno en A.





Me encanta esto de matemática
Nos alegramos Yetzi
Muy interesante y es justo lo que necesito
¡Muchas gracias, Gloria!