Existen escalas musicales, escalas de colores, escalas en los viajes, escalas gráficas, escalas numéricas… en este artículo vamos a hablar sobre estas últimas.
La escala es la relación que existe entre la magnitud que tiene un objeto en la realidad y en su representación gráfica.

Por ejemplo la escala 1:200 significa que 1 cm del plano equivale a 200 cm en la realidad.
Índice del artículo
Tipos de escalas:
Escala numérica
La escala numérica indica cuantas veces tenemos que aumentar el mapa, el dibujo para que esté a tamaño real. Se expresa con un número o una fracción.
Escala 1:1000 indica que la reducción de la realidad al mapa es de mil veces, es decir la realidad se ha reducido mil veces para ser representada.

👉Consulta nuestros niveles:
Escala gráfica
La escala gráfica es una recta dividida en partes iguales. Cada unidad de la escala gráfica equivale a una determinada distancia en la realidad.

Tipos de escalas según la proporción que exista entre las dimensiones del dibujo y las de la realidad.
Escalas de ampliación
Una escala es de ampliación cuando el dibujo está representado con dimensiones mayores que las reales.
En ellas el denominador de la fracción de la escala será menor que el numerador.
Ejemplos: E 5:2 E 2500:1 E 4:3 E 20:1
Escalas de reducción
Una escala es de reducción cuando el dibujo está representado con dimensiones menores que las reales. En ellas el denominador de la fracción de la escala será mayor que el numerador.
Ejemplos: E 2:3 E 1:1250 E 1:100 000
Escala natural
Una escala es natural cuando las dimensiones del objeto real coinciden con las del dibujo.
Escala natural: E 1:1
Ejemplos de ejercicios de escalas numéricas resueltos
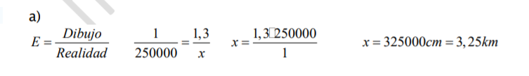
- En un mapa de carretera la distancia entre dos ciudades es de 1,3cm, la escala del mapa es 1:250 000.
a) ¿Cuál es la distancia real que separa las dos ciudades?
b) ¿Cuál sería la distancia en ese mismo mapa, entre dos puertos de montaña que en la realidad distan 15 km?

La distancia real entre ambas ciudades es de 3,25 Km

- Un segmento AB mide 3 cm en el dibujo y en realidad mide 30m, ¿Cuál es la escala empleada para su representación?

La escala empleada es 1:1 000
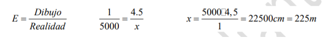
- En un plano a escala E 1:5000 la linde de una parcela está representada por un segmento de 4,5 cm. ¿Cuál es la longitud en la realidad?






Deja una respuesta