Estamos inmersos en un periodo de rebajas, las tiendas disminuyen los precios para intentar dar salida a los productos que tienen en los almacenes. Vamos a pensar en lo que ocurre desde un punto de vista de la economía. ¿Existe relación directa entre el precio de un bien y la demanda de este? ¿Compramos más […]
Diferencia entre Química Orgánica e Inorgánica
La Química es la ciencia que estudia las propiedades, composición y transformaciones que sufre la materia. De ella, surgen dos grandes ramas: la Química Orgánica, que estudia la estructura, propiedades y reacciones de compuestos basados en carbono, y la Química Inorgánica, que estudia laspropiedades y reacciones del resto de compuestos.Esta diferenciación surge durante el siglo […]
¿Qué es un compuesto químico?
¿Qué tienen en común la sal común (cloruro sódico), el agua, el dióxido de carbono y el butano? Pues que todos ellos son compuestos químicos. En el artículo de hoy, te vamos a explicar qué es un compuesto químico. Además de la definición también aportaremos ejemplos y su clasificación. Índice del artículoQué es un compuesto […]
Los orígenes del Islam. Aparición, religión, organización y expansión
En el post de hoy, os vamos a hablar sobre los orígenes del Islam, su aparición, el Islam como religión, así como de su organización y de cómo se expandió. Índice del artículoLa aparición del IslamEl Islam como religiónOrganización política del IslamLa expansión del Islam La aparición del Islam La Península de Arabia, en el […]
Consejos para el examen de speaking B1
Independientemente del nivel al cual se vaya a optar en el examen oficial de inglés, todos ellos constan de una evaluación de las 4 destrezas principales: Reading, Writing, Listening y Speaking. Esta última es, sin duda alguna, la parte que más preocupación suele general en los candidatos. Es por esta razón por la que hoy […]
Leyes fundamentales de la Física
Los principios o leyes fundamentales de la física también conocidos como leyes naturales tratan sobre unos tipos de principios físicos establecidos en base a evidencias empíricas y hecho concretos. Índice del artículoQué es la físicaLeyes fundamentales de la físicaPrimera Ley de Newton – Ley de InerciaSegunda Ley de Newton – Principio fundamental de la dinámicaTercera […]
Criterios de divisibilidad en matemáticas
¿Es posible saber si una división nos va a dar exacta? ¿Puedo saber si una división tendrá como resto cero? Sí, podemos saberlo, esto nos va a facilitar mucho las cosas en matemáticas. Los criterios de divisibilidad son pautas que nos permiten saber rápidamente si un número es divisible entre otro. Es decir, nos permiten […]
Tipos de energía, ejemplos y por qué es tan importante
El encarecimiento del gas y del petróleo ha puesto de manifiesto la importancia del uso de energías alternativas, como las energías renovables y ha resurgido el eterno debate sobre la energía nuclear. Índice del artículo¿Por qué es tan importante la energía?Tipos de energíaTipos de energía según su origen o fuenteEnergía renovableEnergía no renovableTipos de energía […]
¿Qué es la Biología Molecular?
Hoy vamos a hablar sobre qué es la Biología Molecular, cuáles son sus áreas de estudio, en qué carreras se estudia y alguna recomendación. Índice del artículoDefinición de BiologíaDefinición de Bilogía MolecularÁrea de estudio de la Biología MolecularRecomendación Definición de Biología Podemos definir Biología como el estudio de la vida, e incorporar todo lo imaginable […]
Clasificación de los animales según su alimentación
Los animales, al igual que el resto de seres vivos, toman del medio exterior las sustancias necesarias para mantener sus estructuras y realizar sus funciones. Estas sustancias reciben el nombre de nutrientes y el conjunto de procesos que llevan a cabo para obtenerlas y utilizarlas se llama nutrición. Diferencias entre alimentación y nutrición No es […]
Qué y cuáles son las lenguas afines
Las lenguas afines son aquellas que comparten dos sistemas lingüísticos extremadamente similares. Normalmente, esta relación lingüística se da porque ambas lenguas comparten un mismo origen, y la gran mayoría de vocabulario, por ejemplo, es muy similar. Uno de los ejemplos más claros de lenguas afines que podemos encontrar es el español y el italiano. Español […]
Tipos y elementos de la organización política de la sociedad
Índice del artículoLa sociedad políticaEstado y GobiernoFunciones del EstadoOrigen del concepto EstadoLa democraciaSeparación de poderesTipos de sistemas democráticosEstados y regímenes no democráticos La sociedad política Cualquier agrupación formada por seres humanos necesita una organización para conseguir evolucionar, avanzar y permanecer. Esta organización política de la sociedad no solo la vemos en agrupaciones humanas, sino que […]
¿Qué es la economía global?
«¿Por qué se está enfriando la economía china?», “La dependencia de los chips de Asia era un riesgo para la economía de Europa y EE.UU.” o «El Banco de Inglaterra sube los tipos al 3% para contener la inflación».Estos son algunos de los múltiples titulares que podemos encontrar en la prensa española. Pero, ¿qué es […]
Qué es un polígono y sus clases
La R.A.E. define qué es un polígono como “Porción de plano limitada por líneas rectas”. Un polígono es un figura geométrica plana compuesta por segmentos rectos consecutivos no alineados que encierran una región en el plano. A los segmentos que forman los polígonos se les llama lados y a los puntos de intersección de estos segmentos se les llama vértices. Índice […]
¿Cómo conseguir el título de la ESO?
Es posible que, por cualquier circunstancia, no hayas podido conseguir el título de la ESO, ya que hayas tenido que dejar a un lado los estudios de Educación Secundaria por decisión propia, o porque te vieras en la obligación de ponerte a trabajar. Si en este momento quieres o necesitas esta titulación, es tan sencillo […]
Técnicas de estudio y registro de información
Índice del artículo¿Qué son las técnicas de estudio?Las técnicas de estudio más efectivasLa lecturaEl subrayadoTomar notasEl resumenMapas conceptualesLos esquemas ¿Qué son las técnicas de estudio? Las técnicas de estudio o de registro de la información son diversas herramientas cuyo fin es la recopilación de datos relevantes dentro de un texto, es decir, la extracción de […]
¿Cómo mejorar la comprensión lectora en inglés?
¿Qué es el reading o comprensión lectora? El Reading o comprensión lectora es una de las principales competencias o habilidades lingüísticas que se debe dominar si alguien se encuentra en pleno aprendizaje de inglés, sobre todo en los primeros niveles. Se trata de la capacidad de entender lo que se lee, tanto en lo relacionado […]
¿Qué título es mejor, Cambridge o Trinity?
Cuando los alumnos y alumnas toman la decisión de acreditar su nivel de inglés con una titulación oficial, siempre surge la misma duda: ¿qué título es mejor, Cambridge o Trinity? En primer lugar, ambos son títulos oficiales, reconocidos los dos mundialmente, por lo que ambos son válidos, sin embargo, existen claras diferencias entre unos y […]
Diferencias entre el inglés de negocios y el inglés conversacional
Cuando hablamos de estos dos términos, inglés de negocios e inglés conversacional, nos encontramos ante dos conceptos completamente diferentes, aunque a primera instancia puedan parecer lo mismo. Por ello, es el momento de distinguir bien cuál es el Business English o inglés de negocios, y el inglés general. ¿En qué consiste el inglés general o […]
¿Cuáles son las cinco lenguas más habladas del mundo?
Actualmente, y con una población mundial de 7.700 millones, en todo el mundo se hablan más de 7.100 idiomas. En Europa encontramos solo un pequeño porcentaje, ya que se hablan 230 idiomas diferentes, frente a los más de 2.000 hablados en Asia. Por otro lado, solo en Nueva Guinea se han llegado a contabilizar más […]
Clasificación de las células
Matthias Schleiden y Theodor Schwann, padres de la teoría celular, postularon que las células son las unidades estructurales y fisiológicas de todo organismo. Es decir, todo ser vivo está formado por células: organismos unicelulares (compuestos por una única célula) y pluricelulares (compuestos por millones). Podemos clasificar las células en dos grandes grupos: células procariotas, sin […]
Repetir selectividad/EVAU para subir nota
En el momento de acceder a un grado o carrera universitaria, una de las principales barreras que los estudiantes encuentran siempre son las notas de corte o de admisión, sobre todo en esas carreras categorizadas como las más demandadas. Además, actualmente nos encontramos en un momento en el que las notas de corte de todas […]
Obras más importantes de Aristóteles
Índice del artículoContexto históricoObras principales de AristótelesMetafísicaÉtica a NicómacoPolítica de AristótelesRetórica Contexto histórico Aristóteles fue un filósofo, lógico y científico de la Antigua Grecia, el cual fundó su propia escuela, el Liceo. Perteneció al grupo de los filósofos presocráticos, por lo que Aristóteles intentará resolver el problema del cambio, ya planteado anteriormente por Parménides y […]
Ajuste de reacciones químicas
Ajustar reacciones químicas consiste en balancear las cantidades de reactivos y productos que intervienen en una determinada reacción. Denominamos estequiometría a la proporción o relación que existe entre estas cantidades.Aunque son muy diversas las reacciones químicas que podemos encontrar, dejando a un lado las reacciones nucleares, en todas ellas debe cumplirse la Ley de conservación […]
Tipos de triángulos, clasificación y propiedades
Los triángulos son los polígonos con menos lados que pueden existir, tres lados. Todos lostriángulos tienen 3 lados, 3 vértices y 3 ángulos interiores. Índice del artículoClasificación de los triángulosSegún sus ladosSegún sus ángulosPropiedades de los triángulos Clasificación de los triángulos Los triángulos se pueden clasificar atendiendo a dos criterios. Según sus lados Triángulo equilátero. […]
Sistema Internacional de Unidades. Cambios de unidades y factores de conversión
Medir una magnitud consiste en comparar su valor con el de un patrón de la misma naturaleza, al que denominamos unidad. Las unidades se organizan en conjuntos llamados Sistemas de Unidades. Sistema Internacional de Unidades (S.I.) De entre los diversos sistemas que existen (Sistema Imperial, Sistema cegesimal, Sistema métrico decimal, etc.) se estableció el Sistema […]
Clases de textos y sus criterios de clasificación
Índice del artículoDefiniciónClases de textosSegún la intención del emisorAtendiendo a la variedad discursivaSegún su ámbito temático Definición Los textos escritos pueden ser de diferentes clases, según los criterios discursivos a los que se ajusten, o de la intención con la que se hayan elaborado. Sin embargo, a pesar de que existen una gran variedad de […]
Modelos de exámenes 2022-2023
Los modelos de examen son una herramienta fundamental para preparar los exámenes de EvAU, son perfectos para practicar y nos permiten hacernos una idea de cómo serán. Llevamos unos años con “exámenes tipo COVID”, “de elección múltiple” y en la próxima convocatoria también serán así. ¿Qué quiere decir esto? En los modelos anteriores a la […]
La sociedad feudal y los estamentos sociales
Índice del artículoContexto histórico, político y social de la Europa feudalEl feudalismoLa sociedad estamentalEl feudo. La base de la economía Contexto histórico, político y social de la Europa feudal El feudalismo fue un sistema o modelo social y político que surgió a principios de la Edad Media y se estuvo desarrollando e instaurando en Europa […]
Los géneros literarios
Índice del artículo¿Qué son los géneros literarios?Origen y evolución de los géneros literariosTipos de géneros literariosGéneros literarios clásicosGéneros literarios modernos ¿Qué son los géneros literarios? Cuando hablamos de escribir, encontramos diferentes formas y sistemas de hacerlo, y esto tiene que ver de manera directa con las particularidades y las características de cada género literario. Los […]
La arquitectura románica. Características, etapas y ejemplos
En el post de hoy hablaremos de las principales características de la arquitectura románica.En el arte románico, la arquitectura es la rama más desarrollada, surge de la iglesia católica cristiana. Los encargos son mayoritariamente templos, iglesias o monasterios. Índice del artículoMarco histórico, social, cultural y políticoEtapasEl arte románicoLa arquitectura románicaCaracterísticas de la arquitectura románicaEdificios destacados […]
Operaciones con fracciones. Suma, resta, multiplicación y división de fracciones con ejemplos
En matemáticas, todo número que puede expresarse en forma de fracción, es decir, como cociente de dos números enteros; recibe el nombre de número racional. Una fracción no es más que una división de dos números, y se representa por un par de números (uno sobre el otro) separados por una líneahorizontal.La fracción está formada […]
Ponderaciones de biología en las distintas titulaciones
Si estás en bachillerato o estás pensando volver a prepararte la EvAU para acceder a la universidad estas familiarizado con cómo se calcula la nota media de la EvAU y la importancia de las asignaturas optativas para poder acceder a la titulación deseada. Importancia de la ponderación de las asignaturas optativas Para ello es muy […]
¿Qué es la mecánica cuántica?
La Mecánica Cuántica es la rama de la Física encargada de estudiar los sistemas a escala atómica y subatómica, su interacción con la radiación electromagnética y toda clase de fuerzas que de ellos se derivan. Los primeros conceptos cuánticos provienen de trabajos de Planck y Einstein sobre la radiación electromagnética, si bien, la teoría cuántica […]
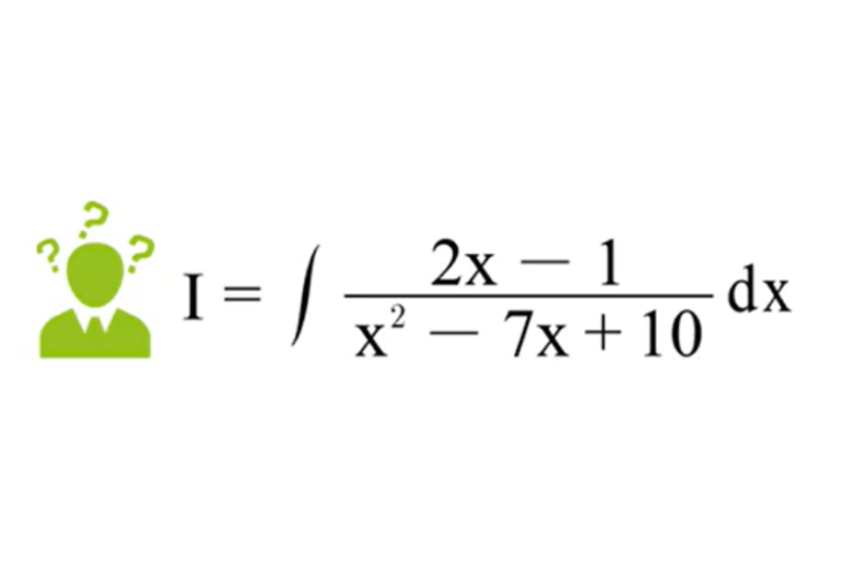
Tipos de integrales y cómo resolverlas
Cuando estamos acabando 2ºBachillerato, con el agua al cuello, deseando que pase ya elinfierno, nos presentan a estas pequeñas amiguitas. Si ya nos cuesta lidiar con lasderivadas, aparecen las integrales. Pues bien, con esta pequeña guía vamos a aprender, almenos, a diferenciar los tipos de integrales para poder resolverlas. Y es que una de las […]
Los filósofos más importantes de la Filosofía Moderna
Primero de todo, cabe destacar que aunque hablamos de Filosofía Moderna como la Filosofía de nuestro tiempo, en realidad los Modernos son aquellos pensadores que desarrollan sus planteamientos filosóficos en la Edad Moderna, es decir, entre los años 1492 (descubrimiento de América) y 1789 (la Revolución Francesa). Hablaremos en este post, por tanto, de los […]
La clasificación de los insectos
La entomología es la rama de la ciencia encargada del estudio y clasificación de los insectos. Estos animales invertebrados pertenecen al filo de los artrópodos (Arthropoda). Índice del artículoCaracterísticas de los insectosClasificación de los insectosOrden ColeopteraOrden HymenopteraOrden DipteraOrden HemipteraOrden OrthopteraOrden LepidopteraOrden Odonata Características de los insectos Los insectos se caracterizan por tener tres pares de […]
Análisis sintáctico de las oraciones simples
Analizar oraciones es una de las prácticas más necesarias para la asignatura de Lengua Española. No sólo porque nos piden explícitamente en los exámenes que analicemos oraciones; sino también porque un buen conocimiento de la sintaxis nos ayudará a hacer buenos comentarios de texto y, lo que es todavía más importante, a redactar bien. Índice […]
Las obras más importantes de Platón
Índice del artículo¿Quién fue Platón?Las principales obras de PlatónLa RepúblicaEl FedónFedro ¿Quién fue Platón? Platón fue un filósofo de la época Antigua. Nació en la ciudad de Atenas, cuna de la filosofía clásica y de la democracia, en el año 427 a.C. En sus años de juventud conoció al que sería su maestro, Sócrates. Platón […]
Las principales ramas de la Filosofía
Índice del artículo¿Qué es la Filosofía?Las ramas de la FilosofíaEpistemologíaMetafísicaÉticaLógicaPolíticaGnoseología o Teoría del conocimientoEstética ¿Qué es la Filosofía? La Filosofía ha sido- y es- una disciplina usada a lo largo de la historia para estudiar y comprender todo aquello que sucede y que existe en el mundo. De esta manera, la Filosofía puede ser una […]
El Romanticismo en España
Índice del artículoMarco histórico, social, cultural y político¿Qué es el Romanticismo?Romanticismo en literaturaRomanticismo en el arte Marco histórico, social, cultural y político El siglo XIX comienza en España con la Guerra de la Independencia y termina con el desastre del 98. Es una época caracterizada por la inestabilidad de la corona, comenzando con el reinado […]
Carreras universitarias con más salidas y más demandadas en España
Cuando se acerca el momento de decidir si asistir a la universidad, una pregunta que nos hacemos siempre es: ¿qué carreras universitarias tienen más salidas y más demanda en España? en algunas ocasiones esto nos ayudará a decidirnos. Índice del artículo¿Cuáles son y por qué?InformáticaEconomíaMarketingMedicina y enfermeríaDerechoIngeniería industrial¿Qué ocurre con el resto de carreras universitarias? […]
La organización celular
Una célula es la unidad anatómica y funcional de todo ser vivo que tiene la función de autoconservación y autorreproducción, por lo que se la considera la mínima expresión de vida de todo ser vivo. Cada célula del cuerpo se hizo a partir de una célula ya existente. Índice del artículoEstructura celularTejidosÓrganosAparatosIndividuo completo Estructura celular Tejidos […]
10 claves para un buen comienzo de curso
Finalmente ha llegado: septiembre ya está aquí. El noveno mes del año es sinónimo de transición, el verano deja paso al otoño, la manga larga se hace hueco en el armario y nosotros despedimos el periodo de vacaciones para recibir la tan temida rutina académica. La vuelta a los estudios puede resultar ardua y extenuante, […]
Sistemas de ecuaciones. Métodos de resolución con ejemplos
En los años de secundaria aprendemos las bases de las matemáticas, que son las que nos permiten encarar con garantías el aprendizaje de los conceptos y temas que vienen en bachillerato. Son esos conceptos de base a los que debemos darle la importancia que tienen, que es mucha, desde materias como la Física, en Cinemática, […]
El sistema diédrico
Seguro que a muchos de vosotros os resulta familiar este término, pero… ¿Qué es el SistemaDiédrico exactamente? Desde hace muchísimos siglos el ser humano se ha enfrentado con elreto de representar sobre un papel la realidad tridimensional en que vivimos. La pintura, la cartografía y la arquitectura son algunos de los campos donde podemos observar […]
¿Cuáles eran los animales de la prehistoria?
Cuando escuchamos animales prehistóricos posiblemente lo primero que se nos viene a la cabeza sean los dinosaurios, pero estos no fueron los únicos que estuvieron presentes en esta época, existen muchos más, de hecho la mayoría son mamíferos que no se extinguieron y aún permanecen en la Tierra. Una gran parte de estas especies se […]
¿Qué es la economía sumergida? Consecuencias
La economía sumergida se puede definir como el volumen total de dinero negro que circula en un país, es decir, transacciones monetarias no declaradas. Índice del artículoCaracterísticas de la economía sumergidaBlanqueo de dineroConsecuencias de la economía sumergidaEjemplos de economía sumergida Características de la economía sumergida La economía sumergida tiene tres características que la describen. En […]
Propiedades de los logaritmos naturales
De la misma manera que necesitamos saber multiplicar para poder calcular el área de la parcela de nuestra casa, o saber trigonometría para medir la distancia entre las estrellas más próximas, utilizamos los logaritmos por ejemplo para determinar la magnitud estelar de una estrella o un planeta, en este caso se opera con logaritmos de […]
Grados superiores con más salida laboral
Índice del artículo¿Qué es un grado superior?¿Qué requisitos tengo que cumplir para poder acceder?¿Qué diferencia hay entre un grado superior y una carrera?¿Cuáles son grados superiores con más salidas? ¿Qué es un grado superior? Es un tipo de estudio que aporta formación práctica y permite que te incorpores al mercado laboral rápidamente o que accedas […]
Cuáles son las leyes naturales más importantes
Con el permiso de grandes pensadores como Platón, Aristóteles e incluso Schrödinger, y del esoterismo, este artículo va a centrarse en la definición física de las leyes naturales y no en la existencia del ser humano ni otras cuestiones de carácter filosófico o energético. Una ley natural es un principio físico que se enuncia a […]
¿Qué diferencia hay entre las matemáticas académicas y las aplicadas?
En diciembre de 2020 se publicó en el B.O.E. la Ley Orgánica 3/2020, por la cual se debe elegir entre la asignatura de Matemáticas orientadas a las Enseñanzas Académicas (Matemáticas Académicas) y Matemáticas orientadas a las Enseñanzas Aplicadas (Matemáticas Aplicadas) en 4ºE.S.O. Pero, ¿Qué diferencias hay entre las dos asignaturas?¿Por qué debería elegir una u […]
Propiedades de los metales y no metales
Es curioso que cuando tecleas en tu buscador favorito de Internet “¿Qué es un metal y un no metal?” la mayoría de lo que encuentras es una definición basada en sus propiedades, no la propia definición. Y es que los metales y los no metales son más característicos por sus propiedades que por el hecho […]
¿Cuáles son los tipos de reacciones químicas y en qué consisten?
Una reacción química es una forma de transformar la materia, donde se rompen y forman enlaces químicos, por lo que se generan nuevas sustancias. Las sustancias de partida se llaman reactivos y las sustancias obtenidas son los productos. Existen muchos tipos de reacciones químicas, clasificadas según distintos criterios. Entre otras se encuentran las siguientes: Índice […]
Qué problemas y consecuencias provoca el cambio climático
El cambio climático es a la variación del clima de la Tierra debido a la acción humana y en menor medida a causas naturales. Está provocado por el calentamiento global. Índice del artículo¿Qué es el calentamiento global?Consecuencias del cambio climático.¿Por qué es tan grave?¿Qué podemos hacer? ¿Qué es el calentamiento global? Es el aumento de […]
¿Qué hacer si no apruebas EvAU?
¿Qué opciones tengo si no apruebo selectividad? ¿Qué puedo hacer si no he sacado la nota que necesitaba en EvAU? Tras la EvAU leemos titulares tales como: “Un 93,77 por cien de aprobados entre los estudiantes presentados a la EvAU 2022 en La Complutense.” (fuente:ucm.es) “Las notas de la Selectividad 2022: del 93% de aprobados […]
Aplicaciones de las derivadas y cuál es su importancia en la solución de problemas
En los últimos cursos de la secundaria aparecen unas funciones matemáticas nuevas para nosotros hasta ese momento y que nos trae de cabeza a más de uno: las derivadas. Nos las presentan de forma geométrica como la pendiente de la recta tangente a una funciónen un punto acompañada de: Y tras ver eso, nos presentan […]
Diferencia entre castellano y español
Seguramente te hayas preguntado en varias ocasiones por la diferencia entre “castellano” y “español”. ¿Son sinónimos o hacen referencia a diferentes dialectos* dentro de nuestro idioma? ¿Qué uso es recomendable? Historia de los términos castellano y español Antes de aclarar estas dudas, es necesario revisar la historia de estos términos. El castellano fue un dialecto […]
Cómo preparar el First Certificate. Partes del examen
Si estás pensando en mejorar tu nivel de inglés, ya sea por razones académicas, laborales o personales, el certificado de B2 o el First es uno de los más demandados en Cambridge English Qualifications y de los más reconocidos internacionalmente. Es un título que, según la propia organización, demuestra que “posees las destrezas lingüísticas necesarias […]
Técnica de estudio de matemáticas
Las matemáticas es una de las asignaturas que más se escuchan cuando se habla de suspensos, por ello es necesario unas técnicas de estudio que puedan facilitar el enfrentarse a ellas y convertirlas en un aprobado. Índice del artículoLas mejores técnicas y métodos de estudio para matemáticasLa clave no reside en memorizarEl porqué es lo […]
Cambios de estado de la materia
Los cambios de estado de la materia simplemente consisten en un cambio de su estado físico, no hay ningún tipo de transformación de sus propiedades ni una transformación en otra sustancia. En la naturaleza los tres tipos de estado físico en los que se encuentra la materia son: sólido, líquido y gaseoso. Los cambios entre […]
Características del Arte Prehistórico
Índice del artículoDefinición y característicasAlgunos ejemplos de arte prehistóricoArte rupestreArquitectura megalítica Definición y características Conocemos tradicionalmente la Prehistoria como el periodo más largo de la Historia, desde la aparición de los primeros homínidos, hasta el surgimiento de la escritura y las primeras sociedades humanas organizadas (3300 a.C.). Es en este momento cuando surge el Arte […]
Materiales naturales y transformados
Desde los inicios de la historia el ser humano ha encontrado en la naturaleza los materiales necesarios para cubrir sus necesidades y mejorar su calidad de vida. Estos materiales se clasifican en dos grupos: Índice del artículoMateriales naturalesClasificación de los materiales naturalesMateriales transformadosClasificación de los materiales transformadosPropiedades de los materiales Materiales naturales También denominados materias […]
Cómo hacer un comentario de texto
Calificación y enunciados El comentario de texto es la primera pregunta siguiendo el formato de examen de Lengua Castellana y Literatura en EVAU. Se califica con dos puntos y está compuesto por tres subapartados: Estas cuestiones tienen como objetivo demostrar si el alumno ha comprendido el texto y es capaz de analizarlo lingüísticamente. Pero, ¿en […]
Propiedades de los Elementos Químicos
Los elementos químicos vienen organizados por su número atómico, tienen gran importancia en su comportamiento en la tabla periódica de los elementos. Dado que la tabla fue diseñada para agrupar los elementos en grupos de características similares. Dichas características generales os la da su configuración electrónica. Es decir que las propiedades químicas de los elementos […]
Tipos de Fuentes históricas para un buen conocimiento de la Historia
Trabajar con fuentes es imprescindible para un buen conocimiento de la Historia. Estas fuentes pueden ser de diversos tipos y aquí te vamos a ayudar a distinguir cuáles son los tipos de fuentes históricas principales. Índice del artículoImágenesMapasTablas y gráficosTextos Imágenes Las imágenes pueden ser fuentes primarias o secundarias, dependiendo de su origen. Dentro de […]
Ventajas y desventajas de la energía nuclear
Empecemos por explicar brevemente como funciona un reactor nuclear. En palabras sencillas un reactor nuclear genera energía a partir de la fisión de átomos. Dicha energía se utiliza para generar vapor de agua a presión, que se transforma en energía eléctrica mediante turbinas. Esto es una breve explicación, de cómo genera energía un reactor. Ventajas […]
Las 5 mejores Universidades de España
Sabemos que elegir universidad no es una tarea fácil. Por ello, desde mundoestudiante queremos facilitarte las cosas: aquí tienes un ránking de las mejores universidades de España. Índice del artículoMejores universidades de EspañaUniversidad de NavarraUniversidad Complutense de MadridUniversidad de Santiago de CompostelaUniversidad Autónoma de MadridUniversidad de Nebrija Mejores universidades de España Universidad de Navarra Es […]
Clasificación de la materia. Sustancias puras y mezclas
Todos los cuerpos están constituidos por materia. Cada tipo de materia presenta una serie de características que las hacen diferentes de las demás. Definimos sustancia como la materia que presenta una serie de propiedades que la definen y pueden clasificarse. Índice del artículoClasificación de las sustanciasSustancias purasElementosCompuestosMezclasSustancias homogéneasSustancias heterogéneas Clasificación de las sustancias Sustancias puras […]
Qué son los trastornos del lenguaje. Tipos, rasgos y causas
Los trastornos del lenguaje son alteraciones que dificultan la comunicación oral. Índice del artículoTipos de trastornos del lenguajeTrastornos del lenguaje receptivoTrastornos del lenguaje expresivoTrastornos mixtosRasgos determinantes de los trastornos del lenguajeCausas de los trastornos del lenguaje Tipos de trastornos del lenguaje Se distinguen tres grandes tipos de trastornos del lenguaje. Trastornos del lenguaje receptivo Los […]
Sácate el carnet en Autoescuela Lara para ir a la universidad
Si estás pensando en venir a estudiar a España, hay ciertos trámites que te recomendamos tener en cuenta para que tu experiencia sea lo más satisfactoria posible y puedas aprovechar al máximo tu tiempo aquí. Cómo matricularte en una universidad española Lo primero de todo, debes estar al corriente de los pasos que debes de […]
¿Qué es una ecuación? Tipos de ecuaciones
La R.A.E. define ecuación como: “Igualdad que contiene una o más incógnitas”. Las ecuaciones acompañan a los alumnos a lo largo de todos sus estudios en la ESO, Bachillerato, universidad… en asignaturas tales como matemáticas, física, economía, tecnología… están presentes en nuestro día a día, en situaciones cotidianas, aunque en la mayoría de los casos […]
Cómo obtener una beca Erasmus
La oportunidad de disfrutar de una beca Erasmus es una de las experiencias más enriquecedoras de la etapa universitaria. Este es un programa europeo que promueve el intercambio de estudiantes entre diferentes universidades con el fin de que estos realicen estancias en el extranjero de entre 6 y 12 meses de duración. Además, incluye una […]
¿Qué es una sustancia química?
Una sustancia química es un conjunto de partículas (átomos o moléculas). Que a simple vista es indistinguible. Tienen una composición definida, y propiedades físicas y químicas únicas. Que no pueden separarse mediante métodos físicos. Índice del artículoClasificación de las sustancias químicasSustancia SimpleSustancia puraSustancias CompuestasCuriosidades de las sustancias químicas Clasificación de las sustancias químicas Una sustancia […]
Qué son las lenguas clásicas
El término lengua clásica hace referencia a una serie de lenguas muertas, ya desaparecidas como lenguas vehiculares de una comunidad, pero que todavía siguen siendo estudiadas con propósitos académicos y culturales. Lenguas clásicas más estudiadas En occidente las lenguas clásicas más estudiadas son el latín y el griego. Sin embargo existen muchísimas lenguas más repartidas […]
Racionalización de radicales
¿Qué es racionalizar? ¿Qué es racionalizar denominadores? ¿Cómo se racionaliza? Racionalizar consiste en quitar los radicales del denominador, es decir quitar las raíces del denominador. Es útil para el cálculo de operaciones, como por ejemplo, resta o la suma de fracciones. Índice del artículoTipos de racionalizacionesRacionalización de TIPO 1:Racionalización de TIPO 2:Racionalización de TIPO 3: […]
Pasos para representar una función
¿Cómo representar una función en matemáticas? ¿Cuándo es suficiente con calcular una tabla de valores? ¿Qué pasos son necesarios para realizar el estudio completo de una función? Son preguntas que surgen a los estudiantes en matemáticas muy a menudo. La respuesta es sencilla, párate a pensar qué tipo de función tienes que representar y para […]
En qué consiste el TOEFL
El Test of English as a Foreign Language (TOEFL) es uno de los exámenes de inglés más demandados y reconocidos en entornos laborales y académicos. Esta prueba mide la capacidad para comprender y aplicar la lengua inglesa en diferentes contextos y entornos. Índice del artículoModalidadesTOEFL iBTTOEFL PBTTOEFL ITPCapacidades que evalúa el TOELFReading ComprehensionListening ComprehensionSpeakingWritingSistema de […]
La importancia y el valor del esfuerzo en el estudio
El esfuerzo es una virtud que debe ser recordada y practicada a diario. Es fundamental concienciarnos desde pequeños del valor del esfuerzo y de la necesidad de enfrentarnos a las dificultades con el objetivo de superarlas. Índice del artículoCómo aplicar el esfuerzo a nuestra vida diariaBases comunes para aplicar el esfuerzoImportancia de la cultura del […]
Qué relación existe entre la filosofía y la ciencia
La Filosofía y la Ciencia, a pesar de lo que pueda parecer en un primer momento, son disciplinas muy cercanas y que influyen mucho de manera recíproca. División entre Filosofía y Ciencia en la Antigüedad Clásica Si nos remontamos a la Antigüedad Clásica, veremos que la división entre Filosofía y Ciencia ya estaba planteada: había […]
Qué es una función matemática
Una función es un algoritmo (operaciones ordenadas) de correspondencia entre dos conjuntos de tal manera que a cada elemento del primer conjunto (A) le corresponde uno y sólo un elemento del segundo conjunto (B). Al primer conjunto (A) se le da el nombre de dominio, y al segundo conjunto (B) se le domina imagen. Las […]
Geología, la asignatura desconocida
La RAE define la geología como: «Ciencia que estudia la historia del globo terrestre, así como la naturaleza, formación, evolución y disposición actual de las materias que lo componen.” En los últimos meses los geólogos han estado muy de moda en los medios de comunicación debido a la erupción del volcán de la Palma, conceptos […]
Características y tipos de lenguaje literario
El lenguaje literario es una manera de utilizar la lengua común de manera estética. Este tipo de lenguaje se suele emplear en obras literarias como la poesía, la dramaturgia o la novela. El lenguaje literario es una formulación particular del lenguaje común que atiende a aspectos como el artístico, estético o filosófico. 👉 En mundoestudiante […]
Sistemas del cuerpo humano
La unidad más pequeña que forma un organismo es la célula. Esta estructura se agrupa junto con otras células formando los tejidos que, a su vez, forman los órganos. Estos órganos interactúan entre ellos, llevando a cabo funciones de forma conjunta y formando los sistemas y aparatos del cuerpo humano. Índice del artículoSistemas del cuerpo […]
Las leyes de Newton. Leyes del Movimiento
Las Leyes de Newton o las Leyes del Movimiento de Newton son los tres principios fundamentales sobre los que se fundamenta la mecánica clásica. Fueron postulados por sir Isaac Newton en su obra “Philosohiae naturalis principia mathematica” (“Principios matemáticos de la filosofía natural”) de 1687. Las Leyes de Newton tienen validez dentro de sistemas de […]
Técnicas de estudio: subrayado y resumen
Dentro de las Técnicas de Estudio, (TE) hay dos pasos fundamentales: el subrayado y el resumen. Vamos a enseñarte cómo puedes sacarles el máximo rendimiento a ambas y aprovechar mucho mejor tus horas de estudio. Índice del artículoPasos anteriores al subrayadoEl subrayadoProceso de subrayadoDiferentes formas de hacer el subrayadoObjetivos del subrayadoEl resumenCómo hacer un buen […]
Qué es el producto en matemáticas
Un producto es el resultado de realizar la operación matemática de multiplicación. Cuando multiplicas números, obtienes su producto. Entonces debemos definir que es la multiplicación: “La multiplicación es aquella operación mediante la cual se suma un número por sí mismo tantas veces como lo señala otro número.” La multiplicación, explicada de forma sencilla, consiste en […]
Qué es IELTS y para qué sirve
El IELTS (International English Language Testing System) es una prueba que evalúa el nivel de inglés británico según una serie de criterios internacionales. Índice del artículoCaracterísticasVersiones del IELTSAcademicGeneral TrainingLa estructura del IELTSSistema de puntuación Características Se considera un examen de inglés de alta calidad, por lo que suele requerirse para la admisión en determinadas carreras […]
Teorema de la altura, cateto y pitágoras
Índice del artículoTeorema de ThalesTeorema de PitágorasEjemplos de ejercicios resueltos con el teorema de PitágorasTeoremas de la altura y el cateto.Teorema de la alturaTeorema del catetoEjemplos de los teoremas de la altura y el cateto Teorema de Thales El teorema de Thales dice: Si varias paralelas son cortadas por dos rectas secantes, los segmentos que […]
Origen y evolución de la Lengua Española/ Castellana
El español, o castellano, es una lengua romance que proviene del latín. Pertenece a las lenguas indoeuropeas y se originó en el reino medieval de Castilla, en la Península Ibérica. Índice del artículoEvolución del castellanoInfluencias de otras lenguasOtras variantes de la lenguaQuién impulsó el castellanoHablantes hispanos Evolución del castellano Tras la caída del Imperio Romano […]
¿Qué son las pruebas de Competencias Específicas?
Las Pruebas de Competencias Específicas (PCE) son las pruebas de acceso a la universidad que han de pasar todos los estudiantes extranjeros que quieran realizar una carrera en España. ¿Quién convoca las pruebas de Competencias Específicas? Las convoca la Universidad de Educación a Distancia (UNED), concretamente su organismo UNEDAsiss. Este organismo tiene diversas sedes repartidas […]
Diferencias entre EvAU y PCE
Si quieres acceder al sistema universitario español, tienes varias opciones que dependen, algunas de ellas, de dónde hayas cursado tus estudios de bachillerato. Si los has hecho en España, o en un centro con bachillerato español, la vía para entrar en una universidad española es la EvAU, pero si vienes de un país extranjero, o […]
Tipos de lógica en filosofía
La lógica es una ciencia que forma parte de la filosofía y de las matemáticas. Se ocupa de estudiar qué procedimientos del pensamiento son válidos y cuáles no, distinguiendo la verdad de las paradojas o las falacias. Índice del artículoOrigen de la lógicaCriterios que debe cumplir la lógicaConsistenciaSolidezCompletudTipos de lógicaLógica formalLógica informalLógica matemáticaLógica simbólicaTipos de […]
Qué son las técnicas de estudio interactivas
Todos hemos oído hablar ya de las técnicas de estudio (TE). De hecho, cada vez son más demandadas por los alumnos, ya que les permiten reconocer sus debilidades y reforzarlas de manera positiva, potenciando, también, sus fortalezas. En definitiva, son herramientas que nos ayudan a aprovechar al máximo nuestras horas de estudio. Índice del artículoExplicación […]
Qué debo estudiar de física para selectividad
Acaba el año, ya llevamos unos meses de curso, y después de todo lo acontecido nos asusta la selectividad un poco más de lo habitual. Cierto que la Evau es un examen importante y determinante en tu futuro pero no deja de ser un examen que vas a hacer igual de bien que hasta ahora, […]
Origen del Euskera
Dentro de las lenguas vivas en Europa, el euskera es una de las que tiene un origen más remoto y misterioso. Índice del artículoDónde se hablaCuriosidadesCuando nacióRelación con otras lenguas Dónde se habla Sus hablantes se concentran en el País Vasco, Navarra y el sur de Francia, contando entre todas las regiones con 5 dialectos […]
¿Qué son los símbolos químicos?
Un símbolo químico es una forma abreviada de representar a los elementos de la tabla periódica. Consiste en una notación de una a tres letras que representa de manera única a cada elemento químico, con la finalidad de evitar tener que utilizar su nombre completo. Los símbolos químicos de todos los elementos que se conocen […]
Qué es una potencia en matemáticas. Explicación y ejemplos
La potenciación, o las potencias, es una operación matemática que tiene un gran impacto en la vida diaria: desde predecir modelos económicos o calcular intereses bancarios, pasando por poder calcular la propagación de una cepa de virus como sucede en la actualidad, hasta hacer simulaciones de cálculos astrofísicos, y múltiples usos más. Índice del artículoDefinición […]
Ventajas de estudiar online. Beneficios de las clases virtuales
Las actividades realizadas de manera online han experimentado un fuerte aumento desde marzo de 2020. Una de ellas ha sido la educación, que se ha visto obligada a reinventarse y dar un salto a las pantallas. Es posible que, sobre todo al principio, a algunas personas les haya costado adaptarse a esta modalidad, pero debemos […]
Apertura de un nuevo centro de mundoestudiante en Alcalá de Henares
Hoy queremos compartir la noticia de que mundoestudiante abre una nueva academia en Alcalá de Henares. Alcalá de Henares es una de las ciudades históricas por excelencia. Ha presenciado entrevistas como la que tuvieron Isabel la Católica y Cristóbal Colón el 20 de enero de 1486, donde se planteó la posibilidad de emprender el viaje […]





































































































